Как определить численность службы охраны труда
На предприятии, с количеством работников 50 и более, работодатель создает службу охраны труда в соответствии с Типовым положением о службе охраны труда, утвержденным приказом Госнадзорохрантруда от 15.11.2004 № 255 (далее — Типовое положення). На это указывает статья 15 Закона об охране труда.
Определение структуры СОТ и ее численности
С одной стороны, работодатель имеет право самостоятельно определять организационную структуру, устанавливать количество работников и штатное расписание (ст. 64 Хозяйственного кодекса Украины). С другой — он должен обеспечить здоровые и безопасные условия труда и действенный контроль за выполнением требований нормативно-правовых актов по охране труда, в том числе и соблюдать пункт 1.2 Типового положения.
При определении структуры СОТ и ее численности работодатель должен учитывать:
- специфику производства и вид деятельности;
- количество работников, работающих на предприятии;
- условия труда и другие факторы.
Удаленная и надомная работа: новые вызовы для службы охраны труда
Следовательно, определяя количество работников СОТ, работодатель должен выбрать любую методику расчета численности, которая должна учитывать упомянутые критерии. Ведь от этого зависит эффективность работы СОТ и ее возможность в полном объеме выполнять возложенные на нее функции и задачи.
На какие нормативные акты опираться при определении численности СОТ
Когда Госнадзорохрантруда приказом от 03.08.1993 утверждал первую редакцию Типового положения, в помощь работодателям разработали Рекомендации по структуре и численности службы охраны труда (далее — Рекомендации). Первую редакцию Типового положения Госнадзорохрантруда отменил приказом от 15.11.2004 № 255. Однако Рекомендации не отменил, и они действуют и сейчас.
В соответствии с Рекомендациями, на предприятиях с количеством работников от 51 до 500 включительно, СОТ должен представлять один специалист по охране труда с инженерно-техническим образованием. На предприятиях, где используются взрывчатые материалы или сильнодействующие ядовитые вещества, в такой службе должно быть два специалиста.
Статья 15 Закона об охране труда устанавливает требование: руководителей и специалистов СОТ по своей должности и заработной плате приравнивают к руководителям и специалистам основных производственно-технических служб.
Рекомендации разъясняют это требование. Они указывают, что при наличии на предприятии института заместителей руководителя предприятия, руководителя СОТ, независимо от количества работников, необходимо назначать на должность заместителя руководителя предприятия (заместитель генерального директора, директора и т.д. — в зависимости от структуры предприятия).
Как рассчитать численность СОТ
Численность службы охраны труда, в зависимости от опасности и вредности производства на предприятиях с количеством работников свыше 500, рекомендовано рассчитывать по формуле:
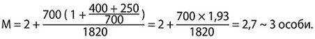
Рассмотрим на конкретных примерах, как определить численность СОТ.
Пример 1. На предприятии работает 700 человек, из них 400 — с вредными веществами и 250 — на работах повышенной опасности:
Пример 2. На предприятии работает 3000 человек, из них 1500 — с вредными веществами и 1000 — на работах повышенной опасности:


